«Полученный нами состав сочетает в себе высокую прочность и достаточную пластичность в диапазоне от комнатной температуры до тысячи градусов Цельсия. Он показал уникальную устойчивость к потере прочности при высоких температурах, превзойдя промышленные тугоплавкие и ранее известные композиционно-сложные сплавы», - пояснил ведущий инженер Санкт-Петербургского государственного морского технического университета (СпбГМТУ) Никита Юрченко, чьи слова передает пресс-служба РНФ.
Юрченко, ученые из СпбГМТУ, а также специалисты «Сколтеха», совершили это открытие при теоретическом изучении свойств так называемых высокоэнтропийных сплавов - сложно устроенных комбинаций из нескольких тугоплавких металлов, в теории способных превзойти сплавы на базе никеля и титана по жаропрочности и долговечности. За последние годы ученые создали несколько материалов подобного рода, не теряющих прочность даже при нагреве до температуры в две тысячи градусов Цельсия.
Их применение пока ограничивается тем, что многие подобные сплавы часто имеют слишком низкую пластичность, из-за чего они легко разрушаются при деформации и плохо поддаются обработке. Для решения этой проблемы российские ученые просчитали свойства множества сплавов на базе ниобия, молибдена, тантала и ванадия. Комбинация этих элементов, как предположили ученые, должна обладать высокой температурой плавления и при этом легко обрабатываться давлением при комнатной температуре.

Сравнение механических свойств на растяжение предложенных сплавов с известными аналогами. Источник: Yurchenko et al. / International Journal of Refractory Metals and Hard Materials, 2025
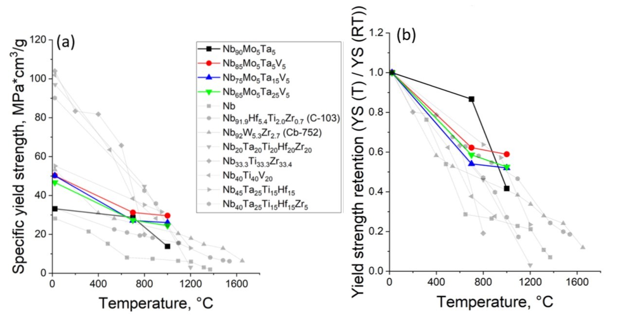
Исследователи синтезировали предложенные сплавы с помощью вакуумно-дугового переплава и провели деформационную обработку - холодную прокатку. Только четыре сплава показали хорошую обрабатываемость, тогда как остальные композиции разрушились при незначительной деформации. Последующие тесты показали, что самыми интересными механическими свойствами обладает сплав, в котором процентное соотношение атомов ниобия, молибдена, тантала и ванадия составило 85:5:5:5.

Поверхности разрушения сплавов после испытаний на растяжение при 700°C и 1000°C. Источник: Yurchenko et al. / International Journal of Refractory Metals and Hard Materials, 2025
По словам ученых, материал выдерживает значительно более высокие нагрузки, чем уже существующие тугоплавкие материалы, применяемые в промышленности, при этом он также он обладает высокой пластичностью и сохраняет 60% прочности при нагреве до температуры в тысячу градусов Цельсия. В этом отношении он превосходит большинство известных аналогов, что делает новый сплав особенно интересным для применения в аэрокосмической промышленности и энергетической отрасли, подытожили исследователи.
Результаты исследования, поддержанного грантом Российского научного фонда (РНФ), опубликованы в International Journal of Refractory Metals and Hard Materials (прим. - Пресс-служба РНФ).
Если вы хотите стать героем публикации и рассказать о своем исследовании, заполните форму на сайте РНФ.