Чтобы обеспечить сверхбыструю передачу сигналов в новейших электронных устройствах, ученые разрабатывают технологии управления движением электронов в атомах и молекулах с помощью света. Для этого нужны световые импульсы, способные «подтолкнуть» электрон в нужную сторону, подобно удару кия по шару. Эти импульсы очень короткие — они достигают половины длины световой волны, а потому их называют полуцикловыми, или униполярными. Полуцикловые импульсы могут быть в разных диапазонах длительностей — например, в фемтосекундном (составлять квадриллионные доли секунды). Из-за малой длительности их невозможно получить с помощью обычных лазеров, которые испускают волны, состоящие из нескольких полуволн поля. Специальные методы их создания очень сложны и требуют лабораторных установок, из-за чего полуцикловые импульсы до сих пор широко не используются на практике.

Поле и плотность тока в плазме. Источник: Ростислав Архипов
Ученые из Физико-технического института им. А. Ф. Иоффе (Санкт-Петербург) предложили превращать фемтосекундный световой импульс в еще более котроткий полуцикловой с помощью самого вещества, на которое он воздействует.
В рамках такого подхода сверхмощный фемтосекундный лазерный импульс из двух полуволн поля противоположной полярности, который можно сгенерировать с помощью современной установки, пропускают через газ. При этом ведущий фронт импульса — условно его первая полуволна, которая раньше всего достигает вещества,— ионизирует газ и превращает его в ультратонкий слой плазмы (облако заряженных частиц). Задний фронт — последующая полуволна импульса,— достигая плазмы, мгновенно отражается от нее и излучается назад.

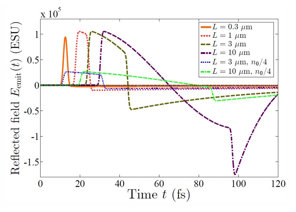
Полуцикловые импульсы разной формы, которые можно получить в газовом слое разной толщины. Источник: Arkhipov et al. / Optics Letters, 2025
Ученые теоретически доказали, что, меняя толщину газового слоя, можно управлять формой получаемого импульса. В очень тонких слоях генерируются импульсы в виде классической полуволны («дуги», как у параболы). При увеличении толщины слоя отраженные от плазмы полуцикловые импульсы «накладываются» особым образом, в результате чего формируются прямоугольные и трапециевидные импульсы.
«Предложенный подход позволяет получить изолированные полуцикловые импульсы, которые могут быть востребованы, например, для сверхбыстрой обработки сигналов в электронных схемах. Более того, мы показали, что довольно простым способом можно настраивать форму импульсов — всего лишь меняя параметры газовой мишени»,— рассказывает участник проекта, поддержанного грантом РНФ, Ростислав Архипов, доктор физико-математических наук, старший научный сотрудник ФТИ им. А. Ф. Иоффе РАН.
Ранее ученые показали, что с помощью сверхкоротких световых импульсов можно превращать оптически однородные среды (например, кристаллы) в «ловушки для света». Такие «ловушки», называемые микрорезонаторами, используются в лазерах, сенсорах и фотопоглотителях.«В дальнейшем мы планируем активно изучать возможности управления формой полуцикловых импульсов. Это может помочь в получении уже петагерцевых импульсов тока, необходимых для петагерцевой электроники и сверхбыстрой оптики»,— подводит итог руководитель проекта, поддержанного грантом РНФ, Николай Розанов, доктор физико-математических наук, академик РАН, главный научный сотрудник ФТИ им. А. Ф. Иоффе РАН.