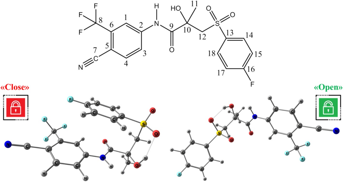
Многие молекулы могут иметь различное геометрическое строение (конформацию). При ее изменении химическая формула вещества остается неизменной, однако его физико-химические свойства, например эффективность и безопасность в контексте лекарств, могут существенно различаться. В случае с бикалутамидом — препаратом для лечения рака предстательной железы — существует множество конформеров, которые делятся на две группы: «закрытые» и «открытые». Молекулы в «открытой» форме имеют вытянутую, линейную структуру, тогда как в «закрытой» форме они свернуты в полукольцо. Известно, что твердые формы бикалутамида, основанные на «открытых» конформерах, более стабильны, в то время как формы, основанные на «закрытых» конформациях, обладают лучшей растворимостью в воде. Поэтому важно контролировать соотношение этих форм при синтезе лекарств, чтобы получать препараты с оптимальной стабильностью и растворимостью.
Ранее химики определили, что «настраивать» свойства молекул можно с помощью сверхкритических флюидов — веществ, одновременно обладающих свойствами жидкости и газа. Один из таких флюидов — сверхкритический углекислый газ — имеет уникальные свойства: он растворяет многие твердые вещества, что невозможно в обычном газообразном состоянии, и может проникать в различные материалы (например, полимеры и ткани), как газ. При этом, изменяя температуру и давление, можно регулировать плотность и растворяющую способность сверхкритического углекислого газа, что позволяет тонко управлять процессами, в которых он используется. Однако до настоящего времени не было изучено, как этот флюид влияет на конформацию сложных молекул, таких как бикалутамид.
В рамках нового исследования ученые из Института химии растворов имени Г.А. Крестова РАН (Иваново) поместили бикалутамид в сверхкритический углекислый газ и исследовали поведение молекул этого препарата при разных температурах и давлениях.

«Закрытая» и «открытая» формы бикалутамида. Источник: Belov et al. / Journal of Molecular Liquids, 2025
Для получения сверхкритического углекислого газа авторы использовали специальную экспериментальную установку. Обычный углекислый газ подавался в ручной пресс, где сжимался до необходимой плотности, «превращаясь» в жидкость. После этого его перенаправляли в ячейку из монокристалла сапфира, в которую авторы заранее поместили бикалутамид. После этого ячейку нагревали до температуры выше 31,1°C, чтобы углекислый газ перешел в состояние сверхкритического флюида. Ученые исследовали полученную систему в различных условиях: при температурах 45°С и 55°С и давлении 90 атмосфер и 125 атмосфер соответственно. Через сутки эксперимента авторы оценили содержание разных конформеров бикалутамида в смеси.
Оказалось, что при температуре 45°C и давлении в 90 атмосфер 80,9% молекул находится в «закрытой» форме и лишь 19,1% — в «открытой». При повышении температуры и давления до 55°C и 125 атмосфер доля «открытых» конформеров увеличилась до 37,3%. Это связано с тем, что сверхкритический углекислый газ в таких условиях разрушает слабые внутри- и межмолекулярные взаимодействия, стабилизирующие «закрытую» форму.
«Полученные результаты показывают, что сверхкритический углекислый газ выступает не только растворителем, но и важным инструментом для управления конформацией молекул. Зная, как ведут себя биологически активные молекулы в сверхкритических средах при различных температурах и давлении, можно будет разрабатывать более эффективные и стабильные формы лекарственных препаратов. В будущем это может привести к оптимизации условий синтеза, сокращению числа побочных продуктов и улучшению качества лекарств», — рассказывает участник проекта, поддержанного грантом РНФ, Константин Белов, кандидат химических наук, научный сотрудник лаборатории «ЯМР спектроскопии растворов и флюидов» Института химии растворов имени Г.А. Крестова РАН.
«Мы продолжим изучать этот подход на более широком круге молекул, что позволит детально исследовать закономерности изменения их структуры в зависимости от параметров среды. Это, в свою очередь, может привести к созданию точных и универсальных алгоритмов для получения лекарственных соединений с требуемыми физико-химическими и фармацевтическими характеристиками», — подводит итог руководитель проекта, поддержанного грантом РНФ, Илья Ходов, доктор физико-математических наук, заведующий лабораторией ЯМР-спектроскопии растворов и флюидов Института химии растворов имени Г.А. Крестова РАН.